Misure di lunghezze: il calibro

Unitą e misure
Sistema Internazionale
di Unitą
Errori nelle misure
marca.gif (847 bytes)Il calibro
 
java.gif (886 bytes) Simulazione del calibro
 

Il calibro č uno strumento impiegato per la misura di spessori e diametri interni ed esterni. Consta di un riga provvista di un nonio.

Il nonio č uno strumento destinato alla misura precisa di lunghezze o di angoli. Impiegato per la misura di lunghezze consta di un riga divisa in parti uguali, sulla quale scorre un righello  graduato (nonio) in modo che n-1 divisioni della riga si dividono in n parti uguali del nonio.

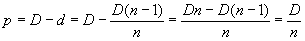
Se D č la lunghezza di una delle divisioni della riga, la lunghezza di una divisione del nonio č d=D(n-1)/n

Si chiama precisione p la differenza tra le lunghezze di una divisione della riga e del nonio. Il suo valore č:

 

Cosģ, se ogni divisione della riga ha come lunghezza un millimetro, e si č diviso nove divisioni di essa in dieci del nonio, la precisione č di 1/10 di mm (nonio decimale).

 

Simulazione del calibro

Ora mettiamo in pratica il calibro. Supponiamo che desideriamo effettuare misure di lunghezze di diversi pezzi con due calibri di diversa precisione.

Al premere Nuevo, si effettua una nuova misura, si introduce la misura nel casella, e si preme il bottone Aceptar. Un messaggio ci indica se si č introdotto la misura corretta, se mancano decimali, ecc.

Se sbagliamo, possiamo premere il bottone  Ayuda, una freccia rossa nella riga indicherą la parte intera, e una freccia blue sul nonio indicherą la parte decimale della misura.

Si introdurrą come separatore tra la parte intera e la parte decimale il punto (.) in vece della virgola (,).

CalibreApplet aparecerį en un explorador compatible con JDK 1.1.

 

CalibreApplet1 aparecerį en un explorador compatible con JDK 1.1.