indice di capitolo

Sviluppo in serie di una funzione


Si definisce sviluppo in serie di una funzione f(x) la trasformazione della funzione stessa in una somma di potenze della variabile indipendente x. Una estesa classe di funzioni puņ essere sviluppata in serie di Taylor. Queste funzioni sono dette 'analitiche'. Si tratta di funzioni che possono essere differenziate infinite volte, con derivate tutte superiormente (inferiormente) limitate, ossia che non assumono valori infinitamente grandi in modulo. Per una sčiegazione del concetto di derivata si veda il capitolo relativo. Risulta allora:
f(X) = f(Xo)+f'(Xo)(X-Xo)+f''(Xo)(X-Xo)²/(2!)+f'''(Xo)(X-Xo)³/(3!)+...
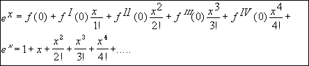
Se lo sviluppo viene interrotto dopo n termini, si commette un errore, che tuttavia in genere (anche se non sempre) tende a 0 per n che tende all'infinito. Gli addendi dello sviluppo relativi alle potenze maggiori di 1 vengono chiamati "ordini superiori". Consideriamo come esempio la funzione esponenziale f(x)=exp(x), il cui sviluppo e' semplificato dal fatto che le derivate sono tutte uguali alla funzione di partenza. Il suo sviluppo di Taylor nel punto Xo = 0 si ottiene nel seguente modo:
f(x)=exp(x); f'(x)=exp(x); f''(x)=exp(x); ...
f(0)=f'(0)=f''(0)=...=1
si ottiene pertanto lo sviluppo riportato in figura.