indice di capitolo

Sviluppo in serie di una funzione


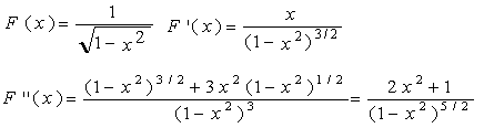
Come altro esempio prendiamo la funzione g = F(x) = 1/Rad(1-x²), intorno a Xo=0 e fino al II ordine.
Si ottiene, fino al II ordine